Tachometer|交通運輸線上App不用買

シェア記事:

【免費交通運輸App】Tachometer-APP點子

Free Tachometer

Professional digital GPS Tachometer

For use at car, airplane, train, ship, boat, motorcycle, cycling, running and walking

Working in anywhere that there is satellites coverage - very accurate !

Measuring and recording of speed, exact location, time and date.

Good for travelers who want to document the exact locations (track) where they stayed.

Main Screen:

1. Your speed by km/h or mph - radio ontouch selecting.

2. Displaying distance by kilometers or miles.

3. Timer.

4. Clock.

Main functions:

1. Start / Stop.

2. Get location every second.

3. Go to map.

【免費交通運輸App】Tachometer-APP點子

4. See records stored locations.

5. Setting preferences.

6. Setting speed alert.

7. Saving csv file (excel format).

8. Sharing gps track file.

9. Delete gps track files.

Description:

Go to map: After clicking on "Get Location" ,you will see your place on the geo map that your device support - like Google map or Waze map, or other.

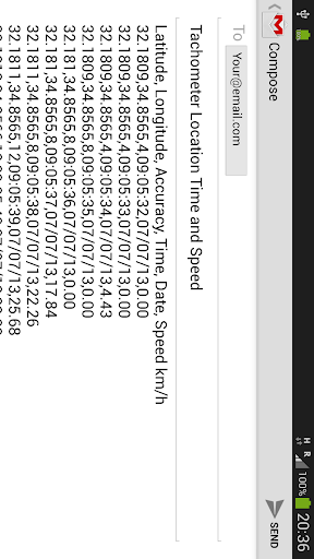
See stored location: A detailed table with the following data -

Latitude, Longitude, Accuracy, Time, Date, Speed km/h.

Each row in the table represents one second data accumulated.

【免費交通運輸App】Tachometer-APP點子

By clicking on selected row you will get the place on the map for the specific second.

Setting Preference

1. Speed warning - Speed kilometer per hour alert - Self setting of velocity alert km/h.

2. Speed warning - Speed mile per hour alert - Self setting of velocity alert mph.

3. Email for sending data and excel file (csv).

4. Store location by GPS/Network.

5. Clear/delete all data.

6. Go back to main screen.

You can export data file (csv) to any email that you want.

All files saved on your local device. you can manage and delete anytime.

This Tachometer for personal use - recording data on your device only.

If you need it for commercial use with saving online data on your company server - please contact us.

Created by Androcalc

【免費交通運輸App】Tachometer-APP點子

More free android applications on www.androcalc.com

【免費交通運輸App】Tachometer-APP點子

免費玩Tachometer APP玩免費

免費玩Tachometer App

Tachometer APP LOGO

Tachometer LOGO-APP點子

Tachometer APP QRCode

Tachometer QRCode-APP點子
熱門國家系統支援版本費用APP評分上架日期更新日期
未知Android
Google Play
1.01
App下載
免費
1970-01-012015-05-07
香港 Hong KongAndroid
Google Play
1.01
App下載
免費
2014-09-102015-01-14
シェア記事: