Maths Formulas Pro|教育線上App不用買

シェア記事:

【免費教育App】Maths Formulas Pro-APP點子

No ads & swift & smooth app. You can try the free version before buying this one.

These are very useful maths formulas that serve as a quick reference.

This includes topics:

Algebra:

List of Squares, Cubes, Fourths & fifths

List of Percentages, Fractions, Decimals

Logarithms

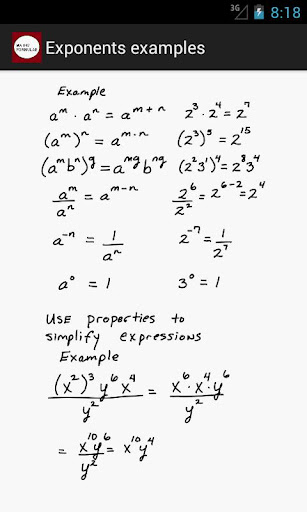
Exponents

Quadratic Equations

Trigonometry

Geometry

Area and Perimeter of Circle, Square, Rectangles, Parallelogram, Ring, Sector, Trapezoid, Equilateral Triangle

Volume and Surface Area of Cone, Cube, Cylinder, Frustum, Pyramid, Sphere

【免費教育App】Maths Formulas Pro-APP點子

Triangle Properties, Quadrilateral Properties, Pentagon Properties

Coordinate Geometry

Line Equation, Line Slope, Line Midpoint, Slope of Parallel Lines, Slope of Perpendicular Lines

Circle Equation

Binomial Theorem

Arithmetic Progression, Geometric Progression & Harmonic Progression

Divisibility Rules

Probability

and a lot more...

This Formulas Collection is useful for MBA Exams such as Common Aptitude Test (CAT - IIM), Management Aptitude Test (MAT), Xavier Admission Test (XAT) and other MBA exams (JMET,ATMA,SNAP,NMAT,IIFT,FMS)

This will also be useful for GRE, GMAT,SAT, IIT JEE, AIEEE, etc.

It also has Maths formulas for College Grade/Higher Grade Students/School Students.

It lists out all the important formulas/topics in Algebra, Geometry, Trigonometry. Regular review of these formulas/concepts will definitely help improve your grades.

【免費教育App】Maths Formulas Pro-APP點子

Helps in all the following ways:

Maths, Mathematics, Maths formulas, Mathematics formulas, Maths formulae, Mathematics formulae

【免費教育App】Maths Formulas Pro-APP點子

免費玩Maths Formulas Pro APP玩免費

免費玩Maths Formulas Pro App

Maths Formulas Pro APP LOGO

Maths Formulas Pro LOGO-APP點子

Maths Formulas Pro APP QRCode

Maths Formulas Pro QRCode-APP點子
熱門國家系統支援版本費用APP評分上架日期更新日期
未知Android
Google Play
1
App下載
USD$1.0
1970-01-012015-01-14
シェア記事: