Formulario Analisi Matematica|教育線上App不用買

シェア記事:

【免費教育App】Formulario Analisi Matematica-APP點子

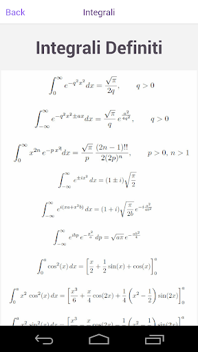
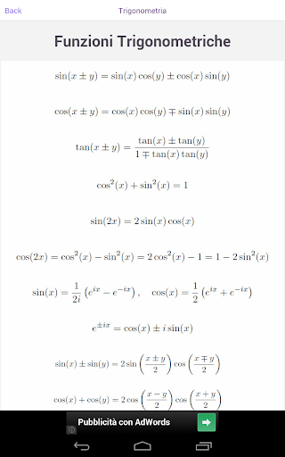
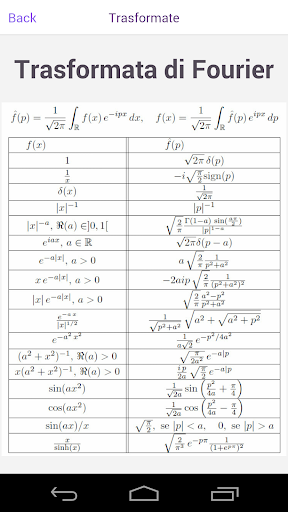
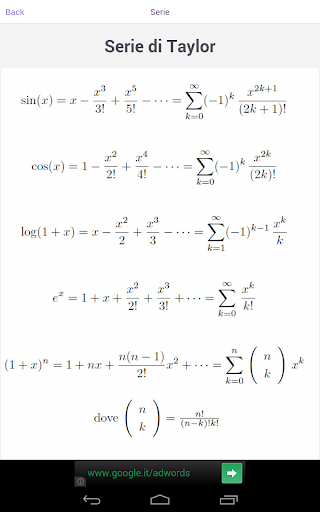
Questa App vuole essere di aiuto a tutti gli studenti alle prese con l'esame di analisi o per tutti coloro che hanno bisogno di qualche dritta per ricordare alcune formule.

Si tratta di un semplice formulario molto schematico che riprende tutte le principali formule ed espressioni notevoli tipiche di un corso di Analisi Matematica I.

Vi ringrazio per il supporto, scaricate anche le mie altre App e non dimenticate di darle un voto :)

【免費教育App】Formulario Analisi Matematica-APP點子

【免費教育App】Formulario Analisi Matematica-APP點子

【免費教育App】Formulario Analisi Matematica-APP點子

【免費教育App】Formulario Analisi Matematica-APP點子

【免費教育App】Formulario Analisi Matematica-APP點子

【免費教育App】Formulario Analisi Matematica-APP點子

免費玩Formulario Analisi Matematica APP玩免費

免費玩Formulario Analisi Matematica App

Formulario Analisi Matematica APP LOGO

Formulario Analisi Matematica LOGO-APP點子

Formulario Analisi Matematica APP QRCode

Formulario Analisi Matematica QRCode-APP點子
熱門國家系統支援版本費用APP評分上架日期更新日期
未知Android
Google Play
2.0.1
App下載
免費
1970-01-012015-04-17
シェア記事: