CI Attendance Demo Edition|生產應用線上App不用買

シェア記事:

【免費生產應用App】CI Attendance Demo Edition-APP點子

CI Attendance collates and analyzes the attendance of people in activities, classes and events etc.

It is meant to be used with CI LinKad, CI TapKad and CI Notification. CI LinKad provides the identities of people, while CI TapKad indicates which activities each person attended. With these data, CI Attendance produces a CSV file that shows the presence/absence of each person in each activity. It also calculates the rate of presence/absence. Depending on configuration, some or all of the people can receive personalized SMS with the help of CI Notification.

For simplicity, CI Attendance works on the granularity of day. There can be at most one activity on one day. This makes operation easy, because attendance recording does not have to specify which activity it is. Just tap a card, and the person linked to that card is marked as present on the current day.

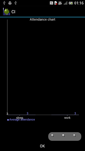
Besides, CI Attendance draws a bar chart showing in average how many people attended each type of activity. It does so by using the keywords entered in CI TapKad. The keywords describe the nature of the activity on the current day. The CI Attendance bar chart shows the number of people attending activities that share a keyword. With the chart, it is easy to understand the popularity of each activity type, which helps in future activity planning.

This demo edition is free. However, it is limited to handling 20 linked persons and 20 recorded taps. Please install the paid edition for support of bigger datasets.

Disclaimer :

Causal Idea is not responsible for any loss, injury or damage inflicted during and after the installation and use of the application.

Third-party component :

CI Attendance uses AChartEngine under Apache License for the drawing of bar charts.

http://www.achartengine.org

http://www.apache.org/licenses/LICENSE-2.0

【免費生產應用App】CI Attendance Demo Edition-APP點子

【免費生產應用App】CI Attendance Demo Edition-APP點子

【免費生產應用App】CI Attendance Demo Edition-APP點子

【免費生產應用App】CI Attendance Demo Edition-APP點子

【免費生產應用App】CI Attendance Demo Edition-APP點子

【免費生產應用App】CI Attendance Demo Edition-APP點子

【免費生產應用App】CI Attendance Demo Edition-APP點子

免費玩CI Attendance Demo Edition APP玩免費

免費玩CI Attendance Demo Edition App

CI Attendance Demo Edition APP LOGO

CI Attendance Demo Edition LOGO-APP點子

CI Attendance Demo Edition APP QRCode

CI Attendance Demo Edition QRCode-APP點子
熱門國家系統支援版本費用APP評分上架日期更新日期
未知Android
Google Play
1.0.0
App下載
免費
1970-01-012015-04-19
シェア記事: