三角函數公式|教育線上App不用買

シェア記事:

【免費教育App】三角函數公式-APP點子

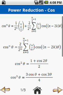
三角公式 - 無論你愛或恨數學數學,你需要知道這些公式。有很多的公式,三角,這是很難去學習他們。這個程序可以幫助您了解三角函數公式。該應用程序已列出三角定義,特徵,雙角公式,三倍角公式,和差公式。如果你認為任何更多的公式應該被添加到它,然後郵寄給我們在

【免費教育App】三角函數公式-APP點子

【免費教育App】三角函數公式-APP點子

contact@dexterltd.com

【免費教育App】三角函數公式-APP點子

【免費教育App】三角函數公式-APP點子

歡迎發郵件通知我們在案件任何疑問,疑惑或問題。請避免把它在評論中,我們無法回應。

免費玩三角函數公式 APP玩免費

免費玩三角函數公式 App

三角函數公式 APP LOGO

三角函數公式 LOGO-APP點子

三角函數公式 APP QRCode

三角函數公式 QRCode-APP點子
熱門國家系統支援版本費用APP評分上架日期更新日期
台灣 TaiwanAndroid
Google Play
1.3
App下載
NT$30.0
2012-10-022015-03-26
シェア記事: